Retirement_Planner for PC Windows

Retirement_Planner for Windows

Personal Finance For all ages For all ages
1 Free
Retirement planning tool for income, expenses, investments, and taxes.

Overview

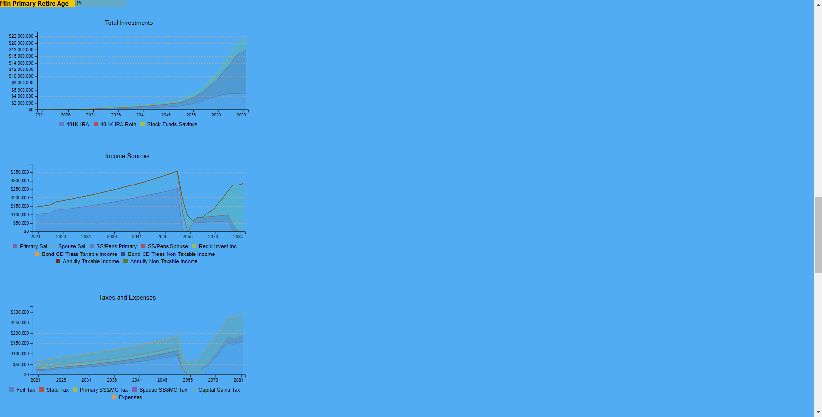
The Retirement Planner is a sophisticated calculator that takes account your income, investments, retirement income, and the tax code to project the earliest year that is safe to retire. Your income and social security/pension are projected year to year and the estimated taxes owed against it. The tool projects the growth and draw down of IRAs, Roth IRAs and stocks/savings and applies the tax code by investment type. The tool projects your soonest retirement date based upon your income and investment status. Taxes take account taxable income, capital gains, taxable social security income, minimum mandatory withdrawals and and child tax credits calculating your federal tax, state tax, social security/medicare tax. The tool has a nice graphical output to show investment balances, income sources, and taxes/expenses. The tool allows you to see detailed calculation tables for every year out to end of plan for income, investments, contributions, investment income, and taxes. The tool gives you the ability to modify your plan, year by year, as needed. A very nice, handy, retirement analyzer.

Features

Income and expense projectionsInvestment balance projectionYearly tax projections for federal and stateMinimum retirement age projectionGraphical displaysCalculation tables

What's new

Updated with 2025 Federal and State Tax Brackets.

Additional Information

  • Developed by SchnackerSoftwareSolutions, LLC
  • Version 2025.03.06
  • Requires

    Available on: PC, Mobile, Surface Hub, HoloLens

    OS: Windows 10 version 19041.0 or higher

    Keyboard: Not specified

    Mouse: Not specified

  • Published 2021-03-19
  • Size 1.09 MB
  • File Type appx/msix
  • Language
    English (United States)
  • Permissions

  • Microsoft Store ID 9p6wbj476h67

How to download and install Retirement_Planner from the Microsoft

To download and install Retirement_Planner for PC from Microsoft, here are two methods you can follow. Retirement planning tool for income, expenses, investments, and taxes.. You can access the app directly on the Microsoft Store.

Method 1: Download and Install via the Microsoft Store

This is the most straightforward and secure way to get Retirement_Planner.

Step 1: Open the Microsoft Store

  • Click the Start Menu (Windows logo) at the bottom-left corner of your screen.
  • Search for Microsoft Store in the search bar and open it.
  • Step 2: Search for Retirement_Planner

  • In the Microsoft Store, type Retirement_Planner into the search bar at the top and press Enter.
  • Select the app from the search results to open its detail page.
  • Step 3: Download and Install

  • Click the Get button (if the app is free) or Install to begin the download.
  • The app will automatically install after the download is complete.
  • Step 4: Access the App

  • Once installed, you can find Retirement_Planner in your Start Menu or Apps List.
  • Open the app and follow the on-screen instructions to use.
  • Method 2: Download from the Official Microsoft Website

    If you prefer downloading directly from the web, you can use the official Microsoft website.

    Step 1: Visit the Retirement_Planner Page

  • Open your browser and go to the Retirement_Planner page
  • Step 2: Download the App

  • Click the Get in Store app button on the webpage.
  • This will redirect you to the Microsoft Store app on your PC.
  • Step 3: Install Retirement_Planner

  • Follow the same steps as in Method 1 to download and install Retirement_Planner.
  • Step 4: Use Retirement_Planner

  • Launch Retirement_Planner from your Start Menu or Apps List.
  • Tips for a Smooth Installation

  • Ensure your PC is connected to the internet.
  • Keep your Windows operating system updated for the best performance.
  • Conclusion:

    Both methods ultimately utilize the Microsoft Store, ensuring the app's safety and reliability. Whether you prefer browsing within the Store or starting via the website, both approaches lead you to successfully download and install Retirement_Planner.
    Retirement_Planner for PC Windows

    Retirement_Planner for PC

    1 Free

    Retirement_Planner FAQs

    How to download and Install Retirement_Planner on Windows PC via the NWindows Store
    How to Search and Download Retirement_Planner for PC Windows?

    Old versions

    Retirement_Planner 2025.03.06

    EXE
    MSIX
    APPX
    32 bit
    64 bit
    2025-03-06

    Retirement_Planner for PC Windows

    Share this app